关键字:双目测宽仪,在线测宽仪,测宽仪原理,光电测宽仪,钢板测宽仪,冶金测宽仪,智能测宽仪,板材测宽仪,测宽仪种类
1双镜筒光电测宽仪双镜筒光电测头是由两组发射镜头和两组接收镜头组成的利用LED洁净光源和CCD成像法进行几何尺寸测量的测头。
2图像法测宽仪宽度测量设备为了拍摄出清晰的测量基准线,在钢板上方设置一个线形激光器,激光器发出的激光与钢板宽度方向平行。这样,工业相机拍摄到的钢板图像上激光束照射的部位将会有一条清晰的亮线,根据这条亮线所占用的像素数即可得到钢板的宽度尺寸。
3激光测宽仪激光测宽仪的工作原理是基于三角测量的原理。左右两组激光发射系统将光斑分别投射到钢板的左右表面。接收系统将照射光斑的散射光成像于光电转换器件CCD上。计算机根据转换后的电信号计算出钢板左右表面的实时位置,然后将左右表面位置求差值即可得测量的钢板瞬时宽度测量值。
4裂缝测宽仪前端为数字式摄像头,用于摄取裂缝图像,经连接线将图像显示在主机的显示屏上,自动判读并显示裂缝宽度。
两台摄像头相距距离大,聚焦在辊道上的同一点上以实现立体化成像。带钢的每一个边缘被两台摄像头同时扫描到,通过三角形原理计算出边缘的水平和垂直位置。由于读数是瞬时的,间隔在4ms以内,输出将经过滤波以防止测量数据的异常。
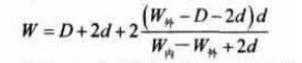
6双目视觉测宽仪采用两组参数相同的测量机箱置于钢板边缘上方,两组机箱分别负则钢板的两侧边缘,每组测量机箱里安装有两个线阵CCD。

双目成像可获得同—场景的两幅不同图像,双目成像的模型可以看作是由两个单目成像模型组合而成。考虑摄像机坐标系统和世界坐标系统重合,像平面与世界坐标系统的XY平面也是平行的,在以上条件下,厚板边缘点的Z坐标对两个摄像机坐标系统都是一样的。根据相似三角形原理,钢板的宽度为:

其中,D:为内侧两个CCD之间的距离;
d:为同—测量机箱内两个CCD之间的距离;
7相位式激光测宽仪
相位法测距通过测定调制光波经过时间t后所产生的相位移φ,从而求得光波所走过的路程D。如图1所示,A点表示调制光波的发射点,B点表示被测反射面,C表示光波经被测面反射后的接收点,A与C两点之间的距离就是光波所走过的路程,它等于待测距离D的2倍,图1中φ就代表了光波在往返路程上的相位移。
8光学成像测宽仪
光源发射箱射出的平行光线经过被测带钢的两个边沿,接收箱内二只上、下光学镜头分别将带钢的形状投影在对应的CCD光敏器件上成像,CCD将光学信号转换成电信号后送到信号处理电路进行信号放大并二值化,即A(X1、Y1)、B(X2、Y2)物理位置变成数字信号,计算机接收到二值化信号后通过数学模型求出带钢的宽度。
测宽仪的常见应用场景和优势70年代以前,轧钢在线检测以光机扫描式测量为主。通过机械旋转狭缝机构的扫描,由光电倍增管输出信号,经模拟信号处理得到测量结果。
80年代初期,由于国内对于测宽仪技术的开发尚处于起步阶段,我国钢板生产线主要应用引进的国外测宽仪。由于进口价格昂贵,有些厂家引进的是国外二手设备,技术水平相当于70年代初期。
80年代中期,在冶金工业部的大力支持下,我国一些科研机构、高校开始走产学研结合的道路,利用学科优势,联合钢板生产厂家,对测宽仪进行技术开发,并投入生产线使用,获得了较好的经济和社会效益。

现在,国内科技迅猛发展,对测宽仪的研究也加大了力度,科研人员,高校,各企业也都投入到测宽仪的研发中,下边小编就给大家介绍一下机器视觉测宽仪与光电法测宽仪,双目测宽仪三种的优势和应用场景!
光电测宽仪光电测宽系统采用间距可调双测头技术,可调节测量范围,对各种板材都能进行宽度检测。
光电测宽仪是用于板材生产线在线连续测量宽度的非接触式精密测量设备,克服了常规测量方式的缺陷,具有安全可靠、测量准确、实用性强和无辐射危害等独特的优点,可有效地改善测试环境。
为宽度控制提供准确的测量信息,可提高生产效率、提高成材率和产品质量。可以为自动轧钢AGC控制提供可靠的宽度参数。

测宽仪的使用有效地提高了生产效率,产品质量,为企业带来更大的效益,在线测宽仪具有自动化检测,无损检测,实时检测,连续检测等多种优势,适合各种板材类产品的在线检测。
机器视觉测宽仪机器视觉测宽仪通过线激光打光出一条亮的激光线,通过工业相机拍摄并计算出宽度尺寸。可获得拍摄图像。

该种测宽仪可以测量复合板的宽度尺寸,可测量复合板两个不同宽度板材的宽度和对称度。
该种测宽仪测量精度较高,也是常用的宽度检测设备,冷轧金属板材、热轧金属板材、带钢、钢板、扁钢、木板、塑料板、合金板、橡胶板等各种行业可用。
双目测宽仪双目测宽仪采用两个工业相机从不同的角度对被测物同时进行测量,两个工业相机就像人的双眼,可以形成立体视觉,这样就可以得到足够的信息判断被测物的距离,修正和消除距离变化对测量的影响。

工业相机离被测板材的距离不是很近,可以减少热轧板材的高温对测量仪的影响,此外,安装在高处的工业相机,其视野覆盖范围广,测量范围大,对被测板材的倾斜、侧偏等可有效识别补偿。
当然根据不同的现场及安装情况,在线测宽仪也会进行不同程度的冷却防尘,从而保证它在现场的高效使用,减少维护周期。