
塑料、橡胶和纤维等高聚物制品由于吸收紫外线发生降解,加速其变色与老化,影响材料的性能。因此,在高聚物制品中添加光稳定剂变的很有必要。目前,光稳定剂按照作用机理的不同可以分为自由基捕获剂、紫外线吸收剂、光屏蔽剂和猝灭剂。今天我们就光稳定剂的分类、各类光稳定剂的作用机理做简单讲解。
光稳定剂的分类1、自由基捕获剂
自由基捕获剂是一类捕获高分子材料中高活性自由基的光稳定剂,可以抑制或减缓光氧化反应的发生。受阻胺类光稳定剂(HALS)是自由基捕获剂中最具代表性,目前应用最为广泛的光稳定剂,它具有几乎无色毒性小、不会使树脂着色、价格低廉和出色的光稳定性能等优点。
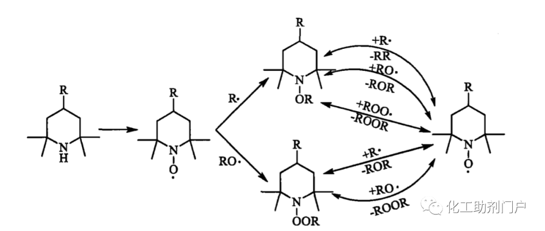
目前普遍接受的观点是由捕获自由基、分解过氧化物和淬灭单线态氧协同作用产生的结果。

受阻胺光稳定剂捕获自由的作用机理

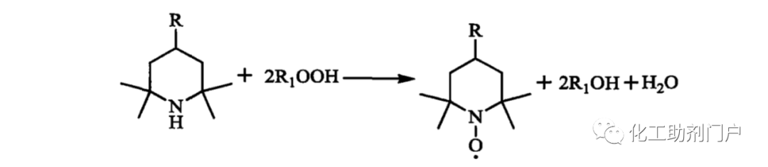
受阻胺光稳定剂分解过氧化氢作用机理
2、紫外线吸收剂
紫外线吸收剂具有吸收近紫外光、耗散光能的作用。以前是用量最大,也是研发到投入工业化应用最早的一类光稳定剂,现在应用范围没有以前广泛,但在某些领域的销量一直位于前列。
紫外线吸收剂自身可以吸收紫外光能量,然后转化为一种对环境没有污染的热能释放出去,但它本身几乎不吸收可见光,具有很好的光稳定作用。
这类化合物具有特殊的分子结构,结构中多数存在分子内氢键,在一般状态下氢键是闭合的,当有波长为290-400nm的紫外光照射时,它会吸收紫外光能量,达到激发态,分子内质子转移使分子内氢键打开,分子变成一种不稳定的酮式结构并回到基态,同时把光能转化为热能释放出去,相当于自身吸收紫外光的能量,避免大分子体系受到紫外光能量的干扰,从而防止了高分子材料光氧化或光降解。
不同类型的紫外线吸收剂具有不同的有效官能团,按照化学结构通常可分为苯并三唑类、二苯甲酮类、三嗪类、水杨酸酯类等。

苯并三唑类紫外线吸收剂的结构通式作用机理

二苯甲类紫外线吸收剂的结构通式和作用机理

三嗪类紫外吸收剂的结枘還式和作用机理

Fries型光化学重排
3、光屏蔽剂
光屏蔽剂又叫遮光剂,通过反射或者吸收紫外线的方式将高分子材料与紫外线隔绝开来,避免紫外线进入材料内部,有效地防止聚合物的降解老化。常用的有光屏蔽剂炭黑、二氧化钛、氧化锌和二氧化铈等无机颜料和酞菁蓝、酞菁绿等有机颜料,其中炭黑屏蔽效果最好而被广泛使用明。
4、猝灭剂
淬灭剂又称减活剂或消光剂,可以有效地将高分子中光敏发色团激发的能量转移,并以某种形式释放,使材料有效地避免发生光降解。与紫外线吸收剂相比,这类光稳定剂对紫外线的吸收较少,但在通常情况下效果优于紫外线吸收剂。猝灭剂大部分为过渡态金属的有机化合物。
常用的猝灭剂主要是镍的有机络合物,可与苯并三唑类、二苯甲酮类等紫外线吸收剂产生协同效应。
光稳定剂的应用光稳定剂作为一种添加剂可广泛应用于塑料、橡胶、涂料、合成纤维等高分子制品中。在汽车、建筑材料、医用塑料、橡胶制品、合成纤维、采光材料、有机玻璃、军用器械、耐光涂料、农用薄膜、包装材料等行业都有着非常广泛的应用。
自由基捕获剂和紫外线吸收剂在多个领域都有应用,淬灭剂主要用于薄膜和纤维,光屏蔽剂仅适用于不透明材料中。
