真空系统是指由真空泵、真空计及各种零件通过管道以适当的方式联接,组合成能达到一定真空度要求的装置。真空系统的基本要求是都有哪些?

5.2管路元件串联、并联时管路的流导计算
5.2.1串联管路的流导计算
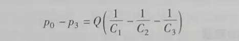
设管路元件内的气体流动为稳定流动,即管道内各处压力不随时间变化,流经管路各处及各个元件的气体流量Q都相等。
例如,一个如图5-1所示的由真空管道、真空阀门和冷阱串联组成的管路系统。设各元件的流导分别为C1、C2和C3,则根据式(5-2)有:

图5-1串联管路示意图

相加得:

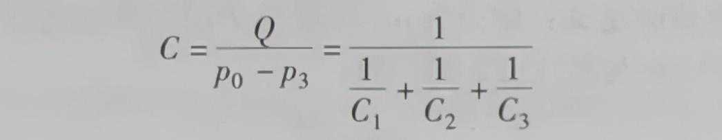
故上述串联管路的总流导C为:

同理,由n个元件串联组成的管路的总流导C的倒数等于各组成元件流导的倒数之和:

5.2.2并联管路的流导计算
如果一个管路系统由三根管道并联组成,如图5-2所示,设在稳定流态下,管路两端压力差为P1-P2,各管道的流导分别为C、C2和C3,流经各管道的气体流量分别为Q1、Q2和Q3,则流经管路系统的总气体流量Q为:

图5-2并联管路示意图
Q=Q1+Q2+Q3
=C1(P1-P2)+C2(P1-P2)+C3(P1-P2)
=(P1-P2)(C1+C2+C3)
根据流导的定义,管路的总流导C为:

若有n根管道或元件并联组成一个管路,则并联管路的总流导等于各分支流导的代数和:
