电阻从大到小的单位排列:MΩ(兆欧)、kΩ(千欧)、Ω(欧)、mΩ(毫欧)、μΩ(微欧)。通常是用万用表来测试电阻值,但是高阻和超低电阻因为精度和量程的原因,需要用不同的方案来实现。
电阻测试是表征材料特性的最常用测试手段,在某些应用中,用户需要进行极端微小电阻(Ultra-lowresistance)测试,例如:纳米材料,超导材料,继电器开关,低电阻材料、连接器的测试,或者精密的热量测定和研究领域。这些被测件通常具有非常高的导电性和非常小的电阻阻值,对测试连接方案有很大挑战。在进行这类材料和器件的测试过程中,为了最大限度的降低被测设备的自热效应,确保待测件的安全和测量的准确性,通常会使用加流测压的方式,在被测物两端施加可控的微弱精密电流信号,通过欧姆定律测定被测件的电阻阻值。

每次电流极性改变时,测量电压(VM1,VM2,VM3等)。每个电压测量包括恒定的热电压偏移量(VEMF)和线性变化的电压偏移量(δV)。热电压漂移可以近似为短时间内的线性函数,因此电压随时间的变化率(δV)也可以视为常数。前三种电压测量包括以下电压:

其中:VM1、VM2、VM3为电压测量值
假定VM1是在时间=0时取的
V1、V2和V3是被测单元由于施加电流而产生的压降
VEMF是VM1测量时恒定的热电动势偏移量
δV是热电动势的变化
通过三种电压测量的数学计算,可以消除热电动势电压偏移(VEMF)项和热电动势电压变化()项。首先,取前两个电压测量值之差的一半,称之为VA:

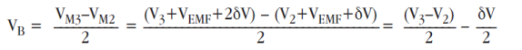
然后,取第二次(VM2)和第三次(VM3)电压测量差值的一半,将这个项称为VB:

VA和VB都受到热电动势漂移的影响,但对VA和VB的影响大小相等,方向相反。最终的电压读数是VA和VB的平均值,计算公式如下:

注意,在最后的电压计算中,VEMF和δV这两项都被抵消了。在Delta方法中,每个数据点是三个电压读数的移动平均值。这种对电压测量值的额外平均意味着,Delta法得到的数据比使用电流反转法计算时得到的数据具有更低的噪声,即使这两组数据是在同一时间段内获得的。Delta方法的成功取决于热漂移的线性近似,这必须在短时间内进行。成功地补偿热电动势电压的变化,意味着测量周期时间必须快于待测件的热时间常数。因此,要使得Delta方法成功,必须使用较快的电流源和纳伏表。
我们以一段导线来进行电阻值测试演示:
本次测试仪器是吉时利的2460源表和DMM7510万用表,测试原理是2460源表输出4次7A或者100mA的正反电流,DMM7510测试电压,算出4次的绝对值后的平均值。
仪器读取U盘的控制程序,手动调整测试参数(电流大小、测试总次数),手动保存U盘等。
测试仪器分别接到两端:其中一对是电流通过,另外一对是测试电压。

设置电流——7A或者100mA

在7A或者100mA得到不同的电阻值

通过U盘保存测试数据(单位Ω),本次测试值为240μΩ左右,这套系统能在其他待测件上能测准确到8μΩ,精度极高。
2.36E-04
2.37E-04
2.41E-04
2.41E-04
2.39E-04
2.40E-04
2.40E-04
2.39E-04
2.40E-04
2.40E-04
当然通过这种测试方法也可以更换不同的源表和万用表,实现不同精度和多路的测试。有测试需求的欢迎联系。