什么是电感
如果要在电子世界里评一个最孤独奖,我想就非电感莫属了。在一块电路板上,你能见到的电感数量和众星捧月的芯片数量应该不相上下(基本元器件都为了芯片能正常运转而工作)。
一根导线,随便缠绕几圈就构成了一个电感,这是一种和磁有关的器件。电感在电路中用字母L表示,单位是H(亨利),当然还有更小的单位,它们的换算关系是1H=1000mH=1000000uH,1uH=1000nH

电感符号
常见电感
空心电感--一类缠绕在空气中的电感,电感值非常小,一般使用在高频电路中,比如收音机的谐振选频电路中

空心电感
色环电感--由元器件生产厂家制成的固定电感,优点是感量固定,一般应用在小电流滤波中,电感使用不可以超出其额定电流,色环读取参见电阻色环读取方法,单位为uH

色环电感
磁芯电感--高频化,小型化的产物,你很难相信一个拇指大的环形电感可以存储10多瓦的功率(开关频率越高其所能存储的能量越多,但导磁材料的工作频率是有限度的),一般应用在大电流滤波、电压变换以及续流中。常见于电源电路中(基本上80%的电感都用于电源电路中),环形电感比工字电感漏感低,但其绕制困难,所以更贵一些

环形功率电感

工字功率电感

贴片电感
铁芯电感--体积巨大,重量大,使用在低频电路中,常见于荧光灯中。为获得更多的电感量(电感量的大小和绕制的匝数和芯的磁导率成正比)绕制中使用大量铜线,所以成本很高,电感镇流器已经很少使用,现逐步被电子镇流器取代

荧光灯中的铁芯电感
共模电感--滤除电路中的共模信号(幅度相等,相位相同的信号),和安规电容一同应用在EMI(电磁干扰)电路中

共模电感
电感的特点
电感器在没有电流通过的状态下,电路接通时它将试图阻碍电流流过它;如果电感器在有电流通过的状态下,电路断开时它将试图维持电流不变。总结起来就是电流不能突变。
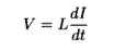
电感的定义式
电感中电流的变化率取决于它两端所加的电压,故有其定义式V=L*(dI/dt),而根据定义式我们可看出电感两端的电压和电流以及电感量的大小成正比,和电流变化率成反比,如果电流变化率很高,其产生的电压就会很大,这也是我们在关闭一个感性负载时会出现电弧的原因

电感定义式