摘要:
为降低土壤墒情监测成本,提高农业灌溉效率,结合土壤水分特性和农业灌溉特点,借鉴张力计结构及测量原理,研发了电阻式“硅藻土-过滤器”型低成本土壤墒情传感器;并通过理论分析及试验研究,得到探头结构的优化配比,用干密度为0.5g/cm3的硅藻土和孔隙度为2μm的过滤器,可提高测量精度。在此基础上,设计完成了一体化土壤剖面墒情监测仪,无外置组件,集成度高,便于安装维护。同时引入低功耗数据自动回传技术,采用锂电池供电,可保证监测仪在野外连续稳定运行3~5a。结合物联网传输技术及云平台组成的土壤墒情自动监测系统,可实现广阔面积土壤墒情的自动采集、无线组网及远程实时监控等功能。系统在甘肃、宁夏、青海三地进行了实地应用,监测数据表明系统运行效果良好。
关键词:
土壤墒情;张力计;硅藻土-过滤器;自动量测;无线组网;土壤水;物联网;
吕华芳(1980—),女,高级工程师,硕士,主要从事水文水资源方面研究。
基金:
国家自然科学基金项目(51809147);
清华大学-宁夏银川水联网数字治水联合研究院联合开放研究基金(sklhse-2021-Iow02);
引用:
吕华芳,杨汉波,伍鑫源,等.“硅藻土-过滤器”型土壤墒情传感器研制及应用[J].水利水电技术(中英文),2022,53(1):207-218.
LVHuafang,YANGHanbo,WUXinyuan,[J].WaterResourcesandHydropowerEngineering,2022,53(1):207-218.
0引言我国是一个水资源相对紧缺的国家,水资源时空分布严重不均,同时水资源利用效率低,缺水与浪费水并存。农业是我国的用水大户,尤其是干旱、半干旱地区,年降水量在250mm以下,农业基本靠灌溉。我国农业灌溉水的利用效率仅为40%~50%,低于发达国家的70%~80%,因此水资源高效利用的核心是农业水资源高效利用。土壤墒情是作物水分及农田旱涝的重要指标,是农田灌溉管理、区域水文条件研究和流域水分平衡计算的重要参量,因此,土壤墒情的准确监测是提高农业灌溉水利用效率的基础。由于土壤空间变异性比较大,需要土壤墒情传感器的大面积布设,从而实现高效智能灌溉,在很大程度上依赖于高效、低成本的土壤水分传感技术。
传统的测定土壤含水率的方式包括手测法和烘干法等。现代测量方法有很多,包括中子仪法、电阻法、张力计法、介电法等。基于介电法原理的传感技术主要包括时域反射TDR法、时域传输TDT法、频域分解FD法、驻波比SWR法等,TDR型土壤水分传感器性能稳定、耗电小,但电路复杂,成本较高,且在盐碱地或高有机质含量土壤应用时需要特殊标定;TDT型土壤水分传感器电路采用单程传输,成本较低,但测量原理决定了探头不易做成末端开路的双针或多针结构,不能即插即用;FD型土壤水分传感器测试频率较低,降低了大规模生产的成本,但低频率下不同质地土壤的介电特性会出现很大的离散性,因此受土壤质地、盐度等因素的影响较大;SWR型土壤水分传感器成本更低,受土壤质地影响较小,但探头之间一致性较差。虽然各种类型的介电法传感器各具优缺点,但因测量快速、无放射性、非破坏性等突出优点仍被广泛应用。介电法传感器根据使用条件和安装方式,又分为接触式测量传感器与非接触测量传感器,接触式传感器一般采用针式探头结构,按照监测深度分层埋设,再接入数据采集器、供电及数据无线传输设备,安装复杂,费时费力,且可移植性差;非接触传感器一般采用环式探头结构,其工作于预先埋设的PVC管中,相比接触式测量传感器,具有施工方便、不破坏土壤结构、易维护等优点,因而适用性更强。国内外非接触的主流仪器产品,如德国IMKO公司的TRIME-PICO-BT型便携式土壤剖面水分速测仪、Sentek公司的EnviroSCAN型土壤水分扩线系统、东方生态的智墒系列产品等,性能均得到认可。但由于非接触式传感器探头周围检测区域比较复杂,增加了产品设计的难度,因此价格均比较高昂,很难在农业灌溉中得到大面积推广应用。综上,研究设计一种性价比较高,且易于安装维护,可在农业灌溉中大面积推广应用的土壤墒情传感器,具有非常重要的现实意义。
电阻法测定土壤水分具有快速、低成本等特点,但受土壤本身的干扰,测试精度低和稳定性差,如能采用非接触式电阻法的测量方式,则可提升测量性能,降低观测成本。在农业灌溉中,田间持水量与毛管断裂含水量之间的土壤水分可自由移动,不断供给作物生长的需要,为有效含水量范围,在精准灌溉中保证作物根区土壤含水率在有效含水量范围是实现作物水分高效利用的关键环节,而张力计法是测定该范围土壤吸力最直观、最便捷、应用最广泛的一种方法。本文结合土壤水分特性和农业灌溉特点,借鉴张力计的结构及测量原理,通过市场调研和试验分析,采用价格低廉且物理化学性能稳定的硅藻土和不锈钢粉末等核心材料,研发了电阻式“硅藻土-过滤器”型土壤墒情传感器。该传感器首先建立了一个与土壤吸力保持实时平衡的稳定测量环境,再通过硅藻土电阻随含水率的变化特征,得到对应土壤含水率的实时值,可有效避免受外界干扰,在提高测量稳定性和精度的同时,大大降低成本。在此基础上,设计完成了“一体化土壤剖面墒情监测仪”,采用自主设计的一体化塔式结构及锂电池供电,提高了仪器的便携性和集成度,易于安装维护;同时引入低功耗、高性能的数据自动回传技术,从而保证监测仪在野外可连续稳定运行3~5a;并利用LORA短距离传输技术、远程无线传输技术和云平台,实现了广阔面积土壤墒情自动监测、无线组网和实时监控等功能,为农业等相关领域中土壤墒情大面积自动组网监测,提供了一种有效的解决方案。
1“硅藻土-过滤器”型土壤墒情传感器研制1.1传感器构建
如图1所示,张力计一般由陶土头、集气管和负压表三部分组成:陶土头为多孔透水材料,集气管是收集仪器内真空之用,负压表用来读取集气管中的负压值。张力计的测量原理是:当张力计插入到土壤中后,集气管中的自由水经过陶土壁与土壤水建立水力联系,通过负压表的读数来反映土壤吸力大小。借鉴张力计的结构和测量原理,构建如图2所示的土壤墒情传感器,由传感器外壳,装入外壳的导电芯、测量电极和采集电路组成。传感器外壳设计为一种类陶土透水特性的,且具有更高强度和耐腐蚀性的细孔径材料;导电芯为一种具有类土壤基质特性,且吸水后导电特性变化更为显著的电解材料。如此,当传感器插入土壤中后,导电芯中的水分与土壤水通过传感器外壳进行水分交换,当导电芯与土壤的基质势达到平衡时,即传感器外壳内外吸力相同时,导电芯中的水分含量达到一个稳定值,由于导电芯水分含量的变化,会导致其导电特性的显著变化,因此通过采集导电芯的电信号,可以获取土壤一定吸力下的土壤含水率。

图1张力计结构示意

图2传感器结构示意
1.2关键材料选型
硅藻土的化学成分主要是SiO2,堆密度0.34~0.65g/cm3,吸水率是自身体积的2~4倍,具有孔隙度大、吸收性强、化学性质稳定、耐热等特点,市场上在售的硅藻土按SiO2含量分为两类,高纯度硅藻土和一般纯度硅藻土,前者又根据粒径分为不同的目数。硅藻土的粒径及装填密度均会影响其持水特性,选取3种具有代表性的硅藻土作为试验样品,分别为一般纯度的普通硅藻土、混合目数高纯度硅藻土、150目粗粒高纯度硅藻土,利用土壤非饱和导水率测量仪HYPROP2(可测定土壤水分特征曲线和土壤的非饱和导水率,土壤水势测量范围为0~-250kPa)开展硅藻土与大田土样持水特性的对比试验,其中3种硅藻土均采用稳定沉降干密度,大田土样采用1.45g/cm3的干密度。
试验结果如图3所示,1号曲线为干密度0.50g/cm3的一般纯度的普通硅藻土,2号曲线为干密度0.40g/cm3的混合目数高纯度硅藻土,3号曲线为干密度0.30g/cm3的150目粗粒高纯度硅藻土,4号曲线为干密度1.45g/cm3的大田土样。在20kPa以下吸力范围,2号样品含水率对吸力的变化不够灵敏;在20kPa以上吸力范围,3号样品含水率对吸力的变化不够灵敏,均不利于测量。且如前所述,田间持水量与毛管断裂含水量之间为有效含水量范围,对应的土壤吸力范围大约为30~70kPa,在这部分吸力范围1号样品具有跟自然土壤非常接近的变化规律,且在20kPa下吸力范围内,含水率对吸力的变化响应非常灵敏,更易于测量,因此采用1号干密度为0.50g/cm3的一般纯度的普通硅藻土(下文简称硅藻土)作为传感器的导电芯。

图3不同土样的土壤水分特性曲线
在实验室内,对硅藻土的导电特性进行测试。如图4所示,配置不同含水率的硅藻土,用万用表测定插入其中的两个电极之间的电阻值,得到如图5所示的硅藻土体积含水率与电阻值之间的关系曲线,可以看出随着含水率的增加,硅藻土的电阻减小,二者相关性良好,符合设计预期。

图4硅藻土导电特性测定试验

图5硅藻土含水率与电阻关系曲线
一般张力计所用的陶土头孔径为0.9~1.3μm,用作土壤水势自动测定仪器(如澳大利亚ICT厂家的STM土壤水势记录仪)的陶土头孔径为1.7μm。经文献检索和市场调研,找到一种1CR18NI9TI型不锈钢粉末,可以加工成最小孔径为2μm的圆筒形金属材料,不仅具有与陶土头接近的孔隙度,且抗压防腐,可塑性强,可以作为传感器外壳。
1.3传感器制作及采集电路设计
如前所述,选用干密度为0.5g/cm3硅藻土作为传感器的导电芯;用1CR18NI9TI型不锈钢粉末以2μm孔隙度加工成外径24mm,内径18.6mm,高度100mm的圆柱形材料作为传感器的外壳(以下称为过滤器);采用直径8.5mm,高度85mm的圆杆电极作为检测元件。除去过滤器用于灌胶和密封部分,硅藻土的有效填充高度为75mm,通过计算可以得到需要装入8g的硅藻土到过滤器中。
为了避免杂质干扰,先用纯水清洗硅藻土和过滤器;用电子秤称8g的干硅藻土,用纯净水稀释;将圆筒形过滤器下半部用O型圈密封,与真空泵链接,从过滤器上面倒入稀释后的硅藻土溶液,启动真空泵快速抽离硅藻土溶液中的水和空气,从而在过滤器中形成干密度为0.5g·cm-3且分布均匀的硅藻土溶质;将直径10mm,高度90mm的电极插入硅藻土溶质中,采用激光焊接引线,一根引线的一端与电极焊接,另一端与测量电路连接;另一根引线的一端与圆筒形过滤器外壳上端焊接,另一端与测量电路连接,形成测定回路;将过滤器外壳上部密封,完成“硅藻土-过滤器”型土壤墒情传感器的制作。
传感器的测量电路由升降压芯片、交直流转换芯片、升压电路、放大电路以及串联接入的“硅藻土-过滤器”型土壤墒情传感器和精密取样电阻组成,当传感器埋入到土壤中后,其内部的导电芯硅藻土通过圆筒形过滤器与土壤中的水分发生交换,硅藻土的导电性能随着湿度的变化会发生显著变化,与其串联的取样电阻上的交流信号相应的将会发生显著变化,由此可通过检测取样电阻的电压值反映土壤含水率的变化。
其测量过程如图6所示,先将3.3V锂电池供电电源经升降压芯片tps63030变直流5V电压,其一路为交直流转换芯片AD736供电;另一路通过升压电路dcdc0509s变成直流9V电压后,经过交直流转换芯片8038变成交流1.5V电压;再通过放大电路OP07,串联接入“硅藻土-过滤器”型土壤墒情传感器和精密取样电阻,之所以进行直流-交流的转换,是因为直流测量时不仅功耗大,系统稳定时间长,且当土壤湿度大时电极易腐蚀,改成交流信号后,这些问题得到有效的解决;然而,交流信号不利于数据卡直接读取,所以又将取样电阻的交流电压信号通过交直流转换芯片AD736变成直流电压信号后进行检测。

图6测量电路工作流程
1.4传感器合理性测试及模数关系率定
为评估传感器的合理性,在直径200mm,高120mm的土罐中,按设计容重均匀装满自然土样,同时插入进口主流TDR传感器和所研制的“硅藻土-过滤器”型土壤墒情传感器。然后,将土罐置于盛水容器中,容器中的水面尽量接近土罐上沿,土样通过土罐底端的细孔慢慢吸水。静置1d后,土样基本达到饱和状态后将系统静置在空气中进行蒸发,同时启动数据采集器,同步采集2种传感器的输出数据,其中主流TDR传感器采集的是其测量的土壤体积含水率的实时值,“硅藻土-过滤器”型土壤墒情传感器采集的是其输出的电压值。当土壤蒸发到接近毛管断裂含水量时,重新饱和土样后再进行蒸发,如此反复测量4次后,得到研制传感器输出电压值与主流TDR传感器测量值的对应关系。如图7所示,除稳定过程(1)外,其他过程(2)—(4)重合度很好,表明所研制的“硅藻土-过滤器”型土壤墒情传感器设计方案合理,可以进行土壤体积含水率的测定。

图7性能测试结果
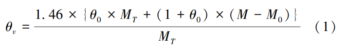
利用所研制的“硅藻土-过滤器”型土壤墒情传感器测定实际的土壤体积含水率,需要进行传感器输出电压和土壤体积含水率对应关系的率定工作。采用疏勒河流域昌马灌区高效节水示范园区土样,灌区土壤以透水性中等的黏壤土和沙壤土为主,播种前平均土壤密度为1.46g/cm3,田间持水率25.7%。土样自然风干过筛后,按照1.46g/cm3的土壤干密度均匀装入直径200mm,高120mm的土罐中,利用烘干法测定土样准确的初始质量含水率θ0,用孔径略小于“硅藻土-过滤器”型土壤墒情传感器直径的土钻,在土罐的中心钻孔,称重得到掏孔后罐中土样的质量MT(g);插入研制的“硅藻土-过滤器”型土壤墒情传感器与土样紧密结合,称重得到系统初始总质量(土罐+土样+传感器)M0(g)。然后,将土罐置于盛水容器中,容器中的水面尽量接近土罐上沿,土样通过土罐底端的细孔慢慢吸水,静置1d后,土样基本达到饱和状态;将系统静置在空气中进行蒸发;同时启动数据采集器采集传感器的输出电压;通过对系统实时称重记作M(g),可得到蒸发过程中的土壤体积含水率

式中,θ0为测定土样初始质量含水率;MT为掏孔后罐中土样质量(g);M为系统实时质量(g);M0为系统初始总质量(g)。

图8率定关系曲线
在实验室内,通过称重计算配置不同体积含水率的土样,再将所研制的传感器插入到土样中进行测定,测得的数据如表1所列,仪器测量数据与称重法测定数据的平均相对误差为2.06%。

在实际的节水灌溉技术中,需要对不同深度的土壤含水率进行监测,且由于土壤的空间变异性比较大,需要多点布设才能到达精准测量;因此基于“硅藻土-过滤器”型土壤墒情传感器,进行了一体化土壤剖面墒情监测仪的研制及监测系统的无线组网设计。
2.1一体化土壤剖面墒情监测仪
监测仪高1137mm,重2.7kg;采用自主设计的一体化塔式结构及锂电池供电,集成度高,便于安装维护;同时引入低功耗、高性能的数据自动回传技术,从而保证仪器在野外可连续稳定运行3~5a。
其外观设计如图9所示,监测仪由3个“硅藻土-过滤器”型土壤墒情传感器、电路板、温湿度传感器、LORA无线模块及固定套筒、固定板、护线管等其他配件组成,并由三根长螺杆将系统密封固定为长1137mm、直径为60mm的圆柱体塔式结构。上部分的电路板套筒长535mm,从下至上依次固定供电电源、电路板、温湿度传感器、无线传输模块,并以IP68防护等级标准进行密封处理。下部分的监测管件长602mm,3个传感器分别固定在距离底端120mm、320mm、520mm的位置。使用时,将监测部分完全埋入到土壤中,电路板套筒部分置于地面以上,则3个“硅藻土-过滤器”型土壤墒情传感器中心处于地面以下20cm、40cm、60cm处,可测定同一土壤剖面对应深度的土壤体积含水量。

图9监测仪结构示意(单位:mm)
监测仪电路设计如图10所示,中央处理器的单片机分别连接温湿度传感器、无线传输模块、时钟电路、电源唤醒触发电路、AD转换电路和传感器工作电源;传感器工作电源分别连接升压电路和主工作电源;主工作电源和锂电池电源、时钟电路和电源唤醒触发电路串联成回路;磁力开关连接电源唤醒触发电路;AD转换电路连接交直流信号转换电路,交直流信号转换电路分别连接3个切换继电器;3个切换继电器分别连接3个传感器和取样电阻R;3个切换继电器同时连接交流信号运算放大器;交流信号运算放大器、交流发生器与升压电路串联;传感器工作电源分别与无线传输模块、单片机、AD转换电路、交直流信号转换电路连接;系统待机时,主工作电源控制芯片为断开状态,时钟电路和电源唤醒电路带电工作;温湿度传感器用于检测电路板工作环境温湿度是否正常;磁力开关用于满足手动启动需求或故障时重启系统。

图10监测仪电路工作原理
测量过程为:(1)通过时钟电路计时自动触发或磁力开关手动触发,系统电路上电;(2)单片机对温湿度传感器、AD转换芯片、无线发送模块进行初始化,并读取温湿度值和电源电压值;(3)通过单片机指令,打开传感器工作电源,电源输出5VDC,通过DCDC(0509s)升压电路,输出±9VDC信号至交流发生器8036,从而产生±1.5V的交流正弦波,再通过OP07运算放大器(增加驱动能力)连接到3个双刀继电器的公共端脚上;(4)单片机输出指令接通切换继电器1,则传感器1及取样电阻R1导通,采集取样电阻R1的交流电压后通过AD736完成交直流转换;(5)交直流转换电路AD736输出的直流电压信号,经过模数转换芯片,将对应数字量送至单片机进行计算及存储;重复步骤(4)—(5),完成对2号、3号过滤器式土壤墒情传感器的测量;(6)测量完毕后,单片机控制传感器工作电源关闭,以减少功耗,同时单片机将计算存储的数据按通信协议格式,经无线模块发送给网关;(7)网关获得数据后,再通过无线传输模块,发送校准时间和下次启动时间数据至监测仪单片机,单片机将时间信号下发到时钟芯片,设置好下次的启动时间;(8)单片机发出关机指令给电源唤醒电路切断主工作电源(降低能耗),至此一个测量循环结束。
2.2土壤墒情监测系统组网方案
土壤墒情监测系统由监测仪节点、网关、IoT(物联网,InternetofThings缩写)云平台和Web服务器组成。监测仪节点均有唯一的地址编码,对应唯一的数字地址,通过433MHz的LORA无线模块与网关进行短距离无线数据传输;网关利用无线通信模块通过IoT云平台将采集数据传输到Web服务器上;Web服务器可接入多个网关,从而实现广阔面积土壤墒情自动监测及无线组网功能。
系统网关由太阳能板、蓄电池,电路板上的数据采集器、2个433MHz的LORA无线模块、GPS模块、无线通信模块、机箱及复位开关组成;2个LORA无线模块实现双信道,一个主通道,一个备用通道,备用通道在主通道通信失败时候启用,保证数据的有效传输;网关获取每个监测仪节点地址,并对其分配相应的通信时间,避免通信冲突;监测节点与网关通信时,监测节点从网关获取校准时间来保证整个系统时钟的一致性;网关GPS模块用于网关所在位置定位及标识。
系统web平台管理软件中,可对系统的使用用户进行设置及管理;对网关及传感器节点进行删除和增加;根据选择的站点加载对应的网关及土壤墒情传感器监测数据;可查看站点的网关包括网关内温度、湿度、信号强弱,以及土壤墒情监测数据的实时数据及历史数据曲线图等(见图11)。

图11系统组网方案及网关设计
3现场应用情况该成果于2019年分别在甘肃玉门(40°14′43″N,97°1′35″E)、宁夏中卫(37°25′36.07″N,105°13′46.48″E)、青海都兰(36°14′21.92″N,97°39′37.29″E)等3个灌溉示范区进行了实际安装应用。甘肃玉门在宽30m左右,长300m左右,均匀相邻的20块种植不同经济作物的田地里安装了40个监测仪;宁夏中卫在苹果地安装了10个监测仪;青海都兰在枸杞地安装了10个监测仪,每个监测仪可测量20cm、40cm、60cm深的3层土壤墒情;每个示范区安装了一套网关,和监测仪组成了3套土壤墒情监测系统(见图12)。
如图13所示,为甘肃玉门站相邻地块的两个监测仪连续2a以上的土壤墒情监测数据曲线图,可以看出3层土壤含水量均随着自然降雨或灌溉同步上升,并随着自然蒸发和作物耗水同步下降,符合实际规律;且在西北寒冷地区冬季,仍可稳定工作,性能良好。

图12监测系统实际应用

图13监测数据历史曲线
4结论(1)在传感器工作原理和架构上进行突破,借鉴张力计的结构和测量原理,研发了电阻式“硅藻土-过滤器”型土壤水分传感器,采用价格低廉但性能稳定的材料,首先建立了一个与土壤吸力保持实时平衡的稳定测量环境,再通过测定电信号的方式得到土壤含水率的实时值,可有效避免外界干扰,提高稳定性和测量精度的同时,大大降低成本。
(2)在“硅藻土-过滤器”型土壤水分传感器的基础上,研制的“一体化土壤剖面墒情监测仪”,采用自主设计的塔式外观结构,无外置组件,提高了系统的集成度和便携性;采用极低功耗单片机及高速AD芯片,优化开关机及数据采集时间,工作电源具有自动关闭和唤醒功能,从而大大降低功耗,保障在野外长期连续工作3~5a。基于“一体化土壤剖面墒情监测仪”,利用物联网短距离传输技术、远程无线传输技术和云平台,构建了土壤墒情监测系统,可实现广阔面积土壤墒情的自动采集、无线组网、远程实时监控等功能。
(3)实地应用证明,该系统性能良好、组网方便、扩展性强,无需现场人工维护,可开展土壤墒情的长期稳定监测;在土壤有关领域(如农业、土壤环境、水资源等)的科学研究和生产应用方面具有广阔前景和良好效益。
(4)由于硅藻土的化学物理性质稳定,加上有不锈钢粉末制成的金属过滤器外壳的保护,目前经过两年多的实地使用,还没有出现硅藻土老化或真空区破坏的情况;但过滤器并非半透膜,土壤中的盐分等也会进入硅藻土中,从而影响测量精度,后续研究需要进一步改进测量电路,尽量规避盐分对测量的影响,并增加土壤温度和盐分含量的测量功能。监测仪采用锂电池供电,其野外长期工作的性能,尤其在高寒地区,还需经过长时间实地观测进一步验证。
水利水电技术(中英文)
水利部《水利水电技术(中英文)》杂志是中国水利水电行业的综合性技术期刊(月刊),为全国中文核心期刊,面向国内外公开发行。本刊以介绍我国水资源的开发、利用、治理、配置、节约和保护,以及水利水电工程的勘测、设计、施工、运行管理和科学研究等方面的技术经验为主,同时也报道国外的先进技术。期刊主要栏目有:水文水资源、水工建筑、工程施工、工程基础、水力学、机电技术、泥沙研究、水环境与水生态、运行管理、试验研究、工程地质、金属结构、水利经济、水利规划、防汛抗旱、建设管理、新能源、城市水利、农村水利、水土保持、水库移民、水利现代化、国际水利等。
