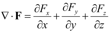
梯度、散度和旋度是矢量分析里的重要概念。之所以是"分析",因为三者是三种偏导
数计算形式。这里假设读者已经了解了三者的定义。它们的符号分别记作如下:

从符号中可以获得这样的信息:
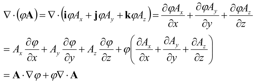
①求梯度是针对一个标量函数,求梯度的结果是得到一个矢量函数。这里φ称为势函数;②求散度则是针对一个矢量函数,得到的结果是一个标量函数,跟求梯度是反一下的;
③求旋度是针对一个矢量函数,得到的还是一个矢量函数。
这三种关系可以从定义式很直观地看出,因此可以求"梯度的散度"、"散度的梯度"、
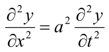
"梯度的旋度"、"旋度的散度"和"旋度的旋度",只有旋度可以连续作用两次,而一维波
动方程具有如下的形式

其中a为一实数,于是可以设想,对于一个矢量函数来说,要求得它的波动方程,只有求它的"旋度的旋度"才能得到。下面先给出梯度、散度和旋度的计算式:



旋度公式略显复杂。这里结合麦克斯韦电磁场理论,来讨论前面几个"X度的X度"。
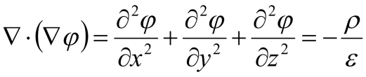
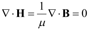
I.梯度的散度:根据麦克斯韦方程有:

而

则电势的梯度的散度为

这是一个三维空间上的标量函数,常记作

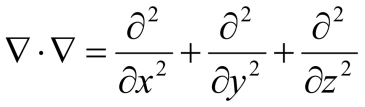
称为泊松方程,而算符▽2称为拉普拉斯算符。事实上因为定义

所以有

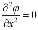
当空间内无电荷分布时,即ρ=0,则称为拉普拉斯方程

当我们仅需要考虑一维情况时,比如电荷均匀分布的无限大平行板电容器之间(不包含
极板)的电场,我们知道该电场只有一个指向,场强处处相等,于是该电场满足一维拉普拉
斯方程,即

这就是说如果那边平行板电容器的负极板接地,则板间一点处的电压与该点距负极板的
距离呈线性关系。
II.散度的梯度:散度的梯度,从上面的公式中可以看到结果会比较复杂,但是它的物理意义却是很明确
的,因为从麦克斯韦方程可以看出空间某点处电场的散度是该点处的电荷密度,那么再求梯
度就是空间中电荷密度的梯度。这就好比说清水中滴入一滴红墨水,起初水面红色浓度最高,
杯底浓度最低,这样水面与杯底形成一个浓度梯度,红墨水由水面向杯底扩散,最后均匀。
在半导体中,载流子分布的不均匀会导致扩散电流。
散度的梯度这个概念其实不常用,因为计算复杂,但在后面讲用它来推导一个矢量恒等
式。
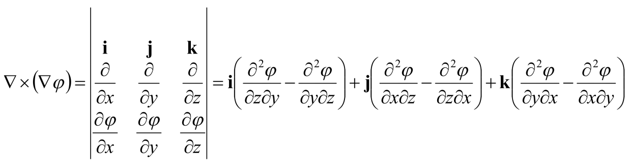
III.梯度的旋度:对于梯度的旋度,直接把(2)式代入(4)式中,有

由于势函数在空间一点的领域内往往是有二阶连续混合偏导数的,因此上式的结果为0.所以说梯度的旋度为零,它的物理意义也是很明确的。
比如一个人从海平面爬到一座山上,无论它是从山的陡坡爬上去还是从缓坡爬上去,亦
或者坐直升机上去,重力对他所做的功总是相等的,即力场的做工只与位移有关,而与路径
无关,这样的场称为保守场,而保守场是无旋场。再比如绘有等高线的地图,如果某点只有
一个一根等高线穿过,那么该点有一个确定的相对高度。如果该点有两条或以上的等高线穿
过,则这个点处在悬崖边上,这个点处是不可微,也就没有求梯度的意义。
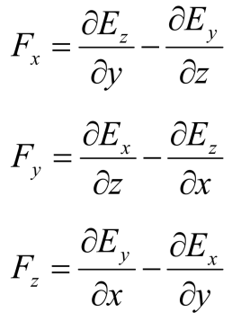
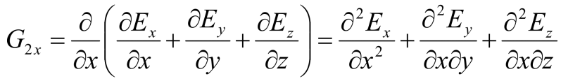
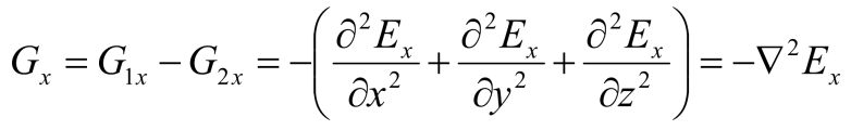
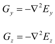
IV.旋度的散度:求旋度的散度也是将(4)式代入(3)式即可。若令

则

从而

将上面三式相加结果也为零。所以说旋度的散度为零,这就意味着一个散度场任意叠加
上一个有旋场不会改变其散度,也就是说光凭矢量场的散度无法唯一地确定这个矢量场。而
光凭矢量场的旋度也无法唯一地确定这个矢量,这是因为有旋场可以叠加上这么一个矢量场
而不改变其旋度,而这个矢量场是一个标量函数的梯度。
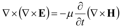
V.旋度的旋度:旋度的旋度将是本文的重点。若所研究的空间范围内是无源的,即ρ=0,J=0,且各向
同性,则根据麦克斯韦方程有:




对(9)式两端取旋度

再将(8)式代入(12)式有

看到这里容易让人想到式(1),前面说式(1)的方程为一维波动方程,那么跟(13)式有什么联系呢?棘手的问题是算旋度已经够复杂了,算旋度的旋度岂不是更费周折?幸好有矢量恒
等式可以利用来帮助简化计算,这里要用到前面所讲的散度的梯度。即有:

这里拉普拉斯算子作用于一个矢量函数时,意义变得不明确了,它和前面的几个"X度的X度"都不一样,实际上它有这样的定义:

为了验证式(14)还是要对计算"旋度的旋度",但以后可以直接利用该式。还是做(7)式那样的处理,即令

则

于是

而令

则

两式相减有

类似地有

代入式(14)就得到了式(15).由于所关心的空间中无源,因此电场散度的梯度为零。所以式(14)可以简化为

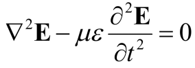
再代回式(13),可得

这个方程很重要,称为三维波动方程,这也从理论上揭示了电磁波的存在。它的各分量
展开后比较复杂,实际上我们无法绘制出一个向四面八方传播的波的振动图像,但好在可以
画出一维和二维的波,从而了解波的性质。有些事物我们无法在现实世界中呈现,或绘制出
图形,但是数学上却可以计算且有确切的物理意义,比如高于三维的空间,不得不感叹数学
的神奇,感叹我们生活的世界的神奇。
VI.几个矢量恒等式:前面已经介绍了一个矢量恒等式,还有其他几个重要的恒等式。由于三种"度"是三种
不同微分算法,虽然有些场合可以把▽当做一个普通的矢量来处理,但并不总是正确的,这
一点需要引起注意。
①


②

这里"×"乘的优先级高于"·"乘对于普通三个不共面的矢量A、B、C则有A·B×C=C·A×B=B·C×A。得到的结果是令三个矢量共起点,以三个矢量的模为棱构成的六面体的体积或它的负值。但是对于▽算子,则一般

但是一般有

实际上上面的矢量恒等式就是上式的扩展

上两式相减有

记忆上式的方法是记住下标的顺序是xyz,yzx和zxy。
③

这个等式相对容易证明,但前提是要在直角坐标下。
