电缆振荡波检测技术主要用于交联聚乙烯电力电缆检测,是属于离线检测的一种有效形式。该技术基于LCR阻尼振荡原理,在完成电缆直流充电的基础上,通过内置的高压电抗器、高压实时固态开关与试品电缆形成阻尼振荡电压波,在试品电缆上施加近似工频的正弦电压波,激发出电缆潜在缺陷处的放电信号。
电缆震荡波试验原理标准基于阻尼振荡波的电缆局放检测方法具有供电容量小、测试时间短、现场操作方便、对电缆本体无损伤等显著特点,可预先发现缺陷并对缺陷准确定位,是目前上先进的电缆局放诊断方法之一。
判别局放类型并定位故障位置。该技术在近似工频状态下基于脉冲电流法高灵敏度检测局部放电,在此基础上提取局放脉冲的信息,结合故障模式库判别实测故障类型;基于脉冲信号在电缆中传播的行波原理完成脉冲对的匹配,根据时间差算法精确计算故障点所在位置。
试验设备:

震荡波是一种紧凑,轻量且用途广泛的产品系列,用于测试和诊断中压配电电缆。系统可编程控制,具有自动耐压,局部放电(PD)测量和分析以及局放定位功能。使用配套套件可以轻松进行控制和分析。
DAC电缆测试不仅仅是基本的评估“好或坏”的测量手段,更是一种高阶的分析和诊断理念。它允许对新装,维修或计划检修的电缆绝缘状况进行评估,从而为资产管理提供参考。系统的测量模式包括
在同等或高于工况电压下的耐压测试,
对整体电缆系统进行局部放电测量,分析和定位
介损因子(tanδ)的估算。
DAC电压测试和局放分析能够可靠地检测
由安装或铺设引起的绝缘缺陷
电缆附件的缺陷,即中间接头和电缆终端
由老化过程导致的电缆绝缘劣化
试验原理:
原理图

图1电缆振荡波局放测试原理
基于OWTS技术的测试电压产生原理如图1所示。直流高压电源首先通过线性连续升压方式对被测电缆进行逐步充电充电电流恒定、加压至预设值。加压完成后,固态高压开关S(激光触发场效应管LTT)在小于1μS的时间内闭合,使被测电缆电容与OWTS系统中高压电感L产生谐振从而在被测电缆上产生阻尼振荡交变电压(DAC),其波形及频率接近工频电压,且持续时间为mS级,对电缆绝缘无损伤。
用直流电源将被测试电缆在几秒中内充电至工作电压(额定电压)。实时快
速状态开关S闭合,将被测电缆和空心电感构成串联谐振回路

回路开始以的频率进行振荡。空心电感值根据谐振频率的要求进行选择,频率范围50-1000Hz。图1中的中压电路一般具有相对低的介质损耗角的特点,与具有低损耗的空心电感相配,可得到具有高品质因数的谐振回路。回路品质Q一般为30-100,振荡波以谐振频率在0.3-1s内衰减完毕,这一过程只有几十分之一周波,并对被测试电缆充电,与50Hz(60Hz)时局部放电非常相似。
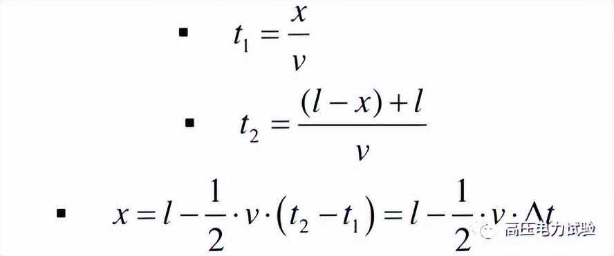
系统采用脉冲反射法进行局部放电定位,原理示意如图所示。测试一条长度为L的电缆,假设在距测试端x处发生局部放电,脉冲沿电缆向两个相反方向传播,其中一个脉冲(为方便起见,文中称为“入射波”)经过时间t1到达测试端,另一个脉冲(本文中称为“反射波”)向测试对端传播,并在对端发生反射,之后再向测试端传播经过时间t2到达测试端。根据两个脉冲到达试端的时间差△t,可计算局部放电发生位置,即:

式中,v为脉冲在电缆中传播的波速


图2脉冲反射法原理示意图
对于现场的电缆局放测量定位来说被测电缆长度一直是影响测量准确性的一个重要因素。不仅是因为更长的电缆对应拥有更大的电容值,对于加压充电环节意味着更高的充电功率,同时也因为更长的电缆会给所需捕捉局放信号带来更大的衰减和畸变。
传统单端振荡波测试系统是基于在被测电缆的一端检测局放初始信号和同一局放事件从电缆远端折回反射信号的时间差。如果局放缺陷位于靠近电缆近端一侧,局放的反射波形则需途径超过1,5倍电缆全长的路径才能到达近端的检测单元,这会给局放信号带来无法避免的无谓衰减。
数据分析:

分析测试概览界面可看到具体的设置、电缆的电容、振荡频率、温度等详细信息

校验波形,可看电缆全长及中间接头的具体位置

PRPD图一三象限的放电图谱


详细信息栏里可看电缆电容值、频率、阻尼衰减曲线及电缆的介损值。