时间:2019-09-2721:00
主题:天体辐射机制
主讲人:Charon
参考资料:李向东老师的《普通天文学》,郑广生老师的《高能天体物理》。
关键词:成像、光谱、连续谱、发射线、吸收线、普朗克辐射、基尔霍夫定律、维恩近似、瑞利-金斯近似、维恩定律、斯特潘-玻尔兹曼定律、亮温度、有效温度、色温度、视星等、色指数、绝对星等、氢原子谱线、禁戒线、谱线频移、谱线展宽。
天体辐射机制这个题目可以开一门课,但是我们今天就简单介绍一下最基本的东西。可能会涉及一些公式,可以依自己的情况来学习或者略过。
人们获得天体信息的渠道有四种:电磁辐射、宇宙射线、中微子、引力波。其中电磁辐射最为重要。电磁辐射由光子构成(粒子性),光子的能量与频率(或颜色)有关:频率越高(低),能量越高(低)。
我们主要研究的数据分为图像和光谱两种。我们使用成像仪来获取图像数据,比如下图就是同一星系在不同波段的直接成像。

我们对空间进行采样,但是接收光子的波长范围较宽。下图是一个光学红外波段的滤光系统,光子透过率随着波长的变化,峰值附近的光子能够最好地被接收,我们不会区分一个波段内的不同光子,也就是没有谱分辨率。(当然我们现在也会使用积分场光谱仪,同时具有空间分辨率和谱分辨率,可以得到三维的数据,两维空间,一维光谱频率)

具体的仪器和测光系统的知识以后也许会涉及。
下面我们讲一下光谱的观测和理解。我们的光谱一般由三个部分组成:连续谱、发射线、吸收线。如下图所示,热的、致密的固体液体和气体产生连续谱;热的、稀薄的气体产生发射线;连续谱经过冷的、稀薄的气体后产生吸收线。

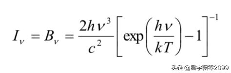
大部分正常恒星的连续谱可以用黑体辐射来近似地表示,也就是普朗克辐射,所以这是天体物理中的一个最基本也最重要的概念。
黑体:能吸收所有的外来辐射(无反射)并全部再辐射的理想天体。
黑体辐射:具有特定温度的黑体的热辐射。
普朗克定律:温度为T的黑体在单位面积、单位时间、单位频率内、向单位立体角发射的能量为:

黑体辐射在长波和短波分别有两种近似形式:短波近似又叫维恩近似,长波近似又叫瑞利-金斯近似,所以在长波波段,黑体辐射和温度是线性关系。

维恩定律(维恩位移定律)是黑体辐射峰值处波长和温度之间的关系。黑体温度越高,辐射波长越短。

下图就是不同天体的热辐射:显示了温度和峰值波长的关系。

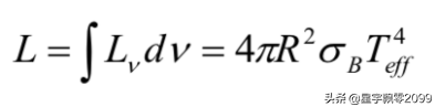
斯特潘-玻尔兹曼定律:我们将黑体辐射对频率进行积分,就会得到总的辐射强度,然后对接收面积进行积分,就会得到总的能量强度,与温度的四次方成正比。

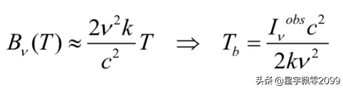
亮温度:假设天体在特定波段下只有黑体辐射,由普朗克公式根据总流量强度算出的温度。如果亮温度反常地高,说明可能实际上包含非热辐射。在射电波段,我们可以使用瑞利-金斯近似:

有效温度:与黑体辐射的总光度相关。

亮温度和有效温度的区别:亮温度取决于光子频率,有效温度与之无关。为了确定有效温度,我们必须知道源的大小。
色温度:相关于天体不同波段的相对辐射,反映了天体颜色的差别,与光谱型有关。

亮温度和有效温度都取决于源的星等,但是色温度只取决于光谱的形状,所以色温度和有效温度可能有较大的差别。
下面就讲一下恒星的星等。光度L:天体在单位时间内辐射的总能量,是恒星的固有量。亮度F:在地球上单位时间单位面积接收到的天体的辐射量。视亮度的大小取决于三个因素:天体的光度、距离和星际物质对辐射的吸收和散射。星等分为视星等和绝对星等。
视星等:古希腊天文学家Hipparcos在公元前150年左右首先创立的表征恒星亮度的系统(1等星-6等星)。星等值越大,视亮度越低。天文学家在此基础上建立了星等系统,定义星等相差5等的天体亮度相差100倍,即星等每相差1等,亮度相差(100)1/5=100.4≈2.512倍。
星等分别为m1和m2的恒星亮度之比为:

视星等的测量通常是在某一波段范围内进行的,根据测量波段的不同,视星等可以分为目视星等、照相星等和光电星等。在全波段测量得到的星等称为热星等。
色指数:在不同波段测量得到的星等之差,如U-B,B-V等。由于天体的颜色和辐射谱的形状取决于表面温度的高低,色指数的大小反映了天体的温度。
绝对星等:天体位于10pc距离处的视星等,它反映了天体的实际光度。
下面简单讲一下谱线。原子谱线与原子结构有关,谱线的频率对应着原子中电子跃迁的频率。当电子从高能态跃迁到低能态时,原子释放光子,产生发射线,反之产生吸收线。当然我们也有分子谱线,与分子的转动、振动等有关。
下面是氢原子结构和产生的光谱的示意图。

氢原子光谱有几个线系,著名的巴尔末线系在光学,而莱曼线系在紫外,剩下的都在红外或更长的波段。从上图和下表中都可以看出不同谱线对应的跃迁能级和谱线波长。

根据探测到的谱线,我们就可以确定天体中的化学成分。不同元素的原子具有不同的结构,因而有不同的特征谱线。
但是还有一种谱线,代表了一些发生概率极低的物理过程,称为禁戒线。但是正因如此,它们很少受到环境因素的干扰,成为了我们重要的研究目标。比如著名的氢21cm谱线,也叫中性氢线。当氢原子处在能量最低的能级时,质子的自旋状态从平行变成反平行时会发生超精细分裂。这个跃迁的概率极小(约只有2.9×10−15s−1),几乎不可能发生,但是星际空间有大量的中性氢原子,所以这种谱线可以被我们观测到。

谱线频移:也就是非常著名的红移和蓝移,一般有多普勒频移(运动造成)和宇宙学频移(与距离成正比)。
谱线展宽:自然展宽、压力展宽、多普勒展宽。辐射源内部原子的无规热运动、辐射源的整体运动(如转动)造成谱线致宽。

根据谱线的频移和展宽,我们也可以分析目标的动力学信息。
【完】
(注:本网络讲座取得主讲人Charon授权,由星宇飘零整理并首发于网络平台。)
——后记——这是天文学系列讲座的第三讲,内容较硬,但读者可以按照自己的基础和需求来选择性吸收,如果你只是作为科普知识吸取,那可以略过所有公式,即使略去所有公式后,这仍然是一篇很硬的科普文。
平常在解释宇宙学的科普书和科普文中,我们会经常看到光谱这个词,比如星系(光谱)红移、宇宙微波背景辐射、引力(光谱)红移等等……不单如此,对黑体辐射谱的研究直接催生了量子论,并最终建立了现代两大基础力学之一的量子力学。

这些故事大家耳熟能详,但可能我们对光谱具体是怎么应用于这些分析一头雾水,从这个讲座中我们可以对以往的知识进行一个升级。比如宇宙微波背景辐射是一个连续谱,属于黑体辐射谱,它的初始频谱与发出时的初始的温度有关,而理论上给出这个温度大约为3000K左右,这是宇宙大爆炸初期高温等离子体中原子核俘获电子时的温度,此时光子不再与中性的原子核耦合,宇宙变得透明,光子开始在宇宙中穿行。这就形成了我们现在探测到的背景辐射,而现在的宇宙微波背景辐射在黑体辐射光谱的温度为2.72548±0.00057K。

又比如星系红移,这个词我们都听过,但真正知道它具体是怎么分析出来的却不多,大家可能只是笼统地知道光谱发生了红移,而通过今天的讲座我们了解了发射线和吸收线,这是原子光谱的指纹,每一种元素的发射线和吸收线都是独一无二的,相当于元素的指纹,天文学家正式基于氢元素的这种指纹,分析其频移从而得出所有星系正在远离的事实,宇宙学家从而建立现在的标准宇宙模型——宇宙大爆炸模型。

元素的指纹也能用于确定天体的元素组成,比如太阳上有哪些元素,我们无法直接上去取样检测,但只需要分析其光谱中的发射线和吸收线即可确定它上面拥有哪些元素。不单太阳,远在一万光年外的宇宙空间有些什么元素也能通过它们确定,比如去年的双中子星碰撞中产生的黄金就是据此测量确定的。
有时我很惊叹于科学家们的智慧,我们这些凡人只能通过这些小知识领略他们智慧的皮毛……